

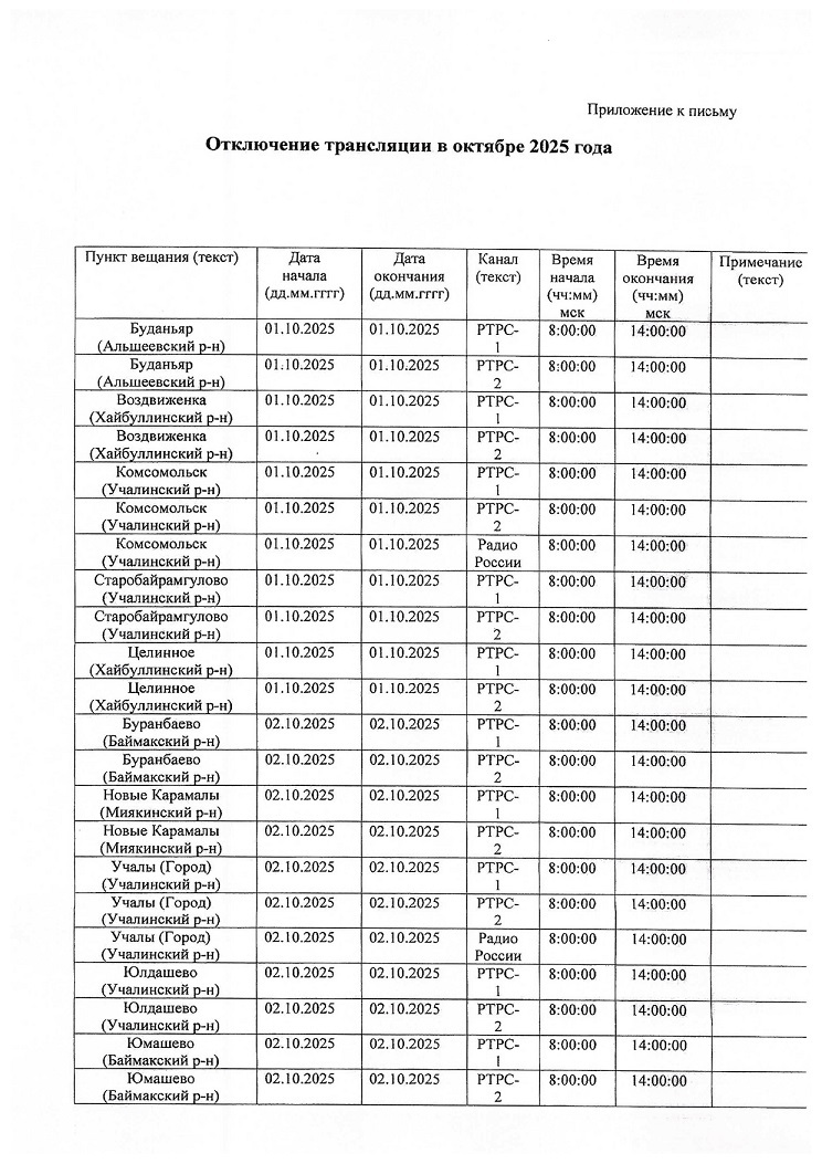
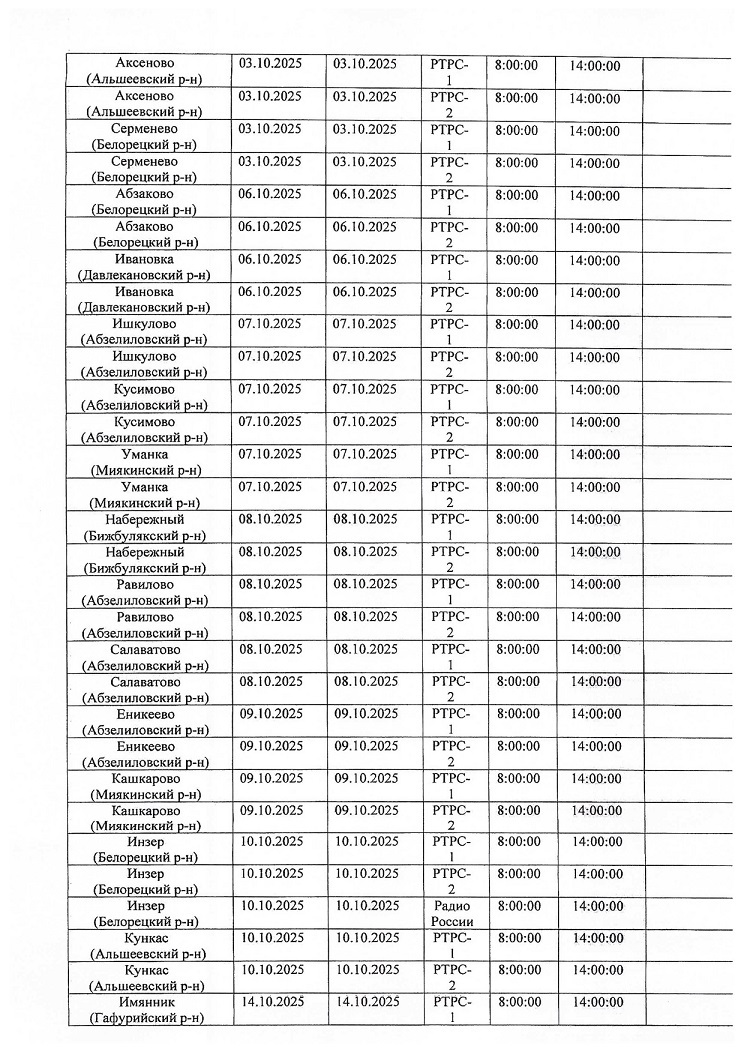
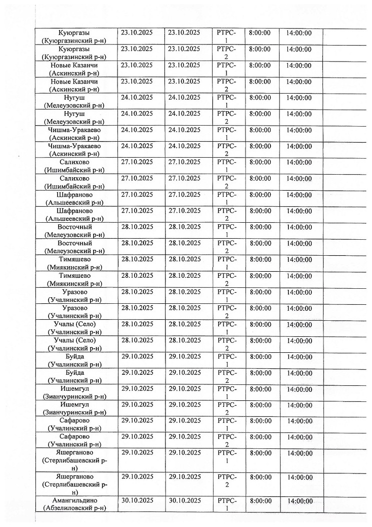
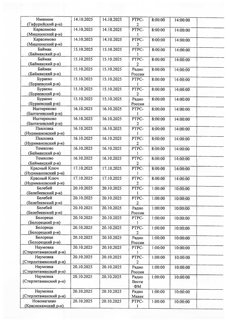
В течение октября в Башкирии будет отключаться теле- и радиовещание. Это связано с профилактическими работами, сообщает РТРС «РТПЦ РБ».
В каждом из населенных пунктов республике вещание будет приостановлено по графику (смотрите таблицу внизу — время московское). Продолжительность отключения составит семь часов.
Ранее мы сообщали о том, что солнечная интерференция не повлияет на телевещание в Башкирии.
Фото автора.